梦幻西游:十开玩家“月入过万”,藏宝图也能让人破防了?
|
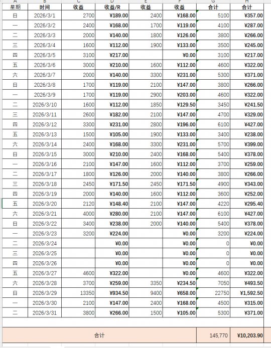
如果有人告诉你,玩梦幻西游比上班强,你肯定会嗤之以鼻,但如果他真的晒出纪录收益,阁下要怎么接招呢?下面,就带大家去看看今天的梦幻新鲜事吧! 一、这笔“年中奖”是真的香 近日,有位欧气满满的少侠在鉴定腰带时,喜提了一件130级、初血283、初防73的无级别愤怒腰带。虽然这条腰带基础属性一般,但只要肯下功夫熔炼,依然是X9玩家青睐的对象。毕竟,有哪位能拒绝这种“实力硬通货”呢? 二、十开玩家月入过万? 在如今的梦幻西游中,的确存在不少“十开”玩家。这不,今天就有位玩家晒出了自己2026年3月份的收益表。从数据来看,虽然这位玩家在3月份有3天没有上线,有2天选择了五开,但综合收益却高达10203.9元。虽然单纯的表格统计并不能确保真实,但是开玩梦幻西游的收益也的确不低。那么,各位小伙伴觉得,想要达到这个水平的“高玩”,其角色配置和游戏时长大概是多少呢? 三、谁说刷场景和抓鬼不能逆袭? 近日,有位小伙伴在刷场景时,喜提了一件80级水清愤怒腰带。将其放在畅玩服的话,最起码给3000起步。虽然时间服价格偏低,但也能换辆两轮座驾感受快乐。而且,从近一年的资讯来看,通过场景、抓鬼获得特技环装的玩家并不在少数。因此,各位少侠只要坚持,哪怕只是刷场景和抓鬼,也有可能收获意想不到的惊喜! 四、这张藏宝图令人心碎 对于新老玩家来说,每周六举行的“降妖伏魔”活动算是一个收益极高的玩法。但今天有位小伙伴却表示,自己辛辛苦苦刷了两个小时铃铛,却在最后的炼化阶段,被一张藏宝图破了防。从其晒出的截图来看,这张藏宝图好巧不巧的卡在了“4=1”阶段,将一次可能成为“炫耀”的纪录,变成了区内玩家的“乐子”,堪称本月最惨资讯之一! 今天的新鲜事就到这里了,各位小伙伴如果在游戏内、外碰见什么有意思的事情,都可以给我们投稿哦! 叶子猪梦幻西游玩家群:1群 325703083 (2000人),2群: 330102322 (千人);3群: 424986787 (游戏疑难解答);4群: 330518295 (商人物价);5群: 1063086037 (疑难解答);6群: 1045753197 (春心萌动);7群: 787195090 (活跃互动);8群: 720665628 (全民PK) [编辑:ssc]
|
本文仅代表发表厂商及作者观点,不代表叶子猪本身观点!

ID:youximhxy
群号:1045753197




